A few weeks ago, while I was visiting a city in northern Mexico, I witnessed some of the drug-related violence people have been experiencing almost every day: several bodies were hung from a bridge and a number of shootouts were reported throughout in the city. As if that was not terrifying enough, I was not able to learn about those events through the news media. Instead, like many people in these cities, I learned about them on Twitter. Perhaps even more interesting was the fact that a handful of Twitter users, many of whom are anonymous, have emerged as civic media curators, individuals who aggregate and disseminate information from and to large numbers of people on social media, effectively crowdsourcing local news. We set to investigate this emergent phenomenon by looking at a large archive of Tweets associated with the Mexican Drug War and interviewing some of these new “war correspondents,” as one of them referred to herself.
![Twitter message [edited] alerting citizens of drug-related violence.](https://socialmediacollective.org/wp-content/uploads/2013/01/blogimage.png?w=640&h=308)
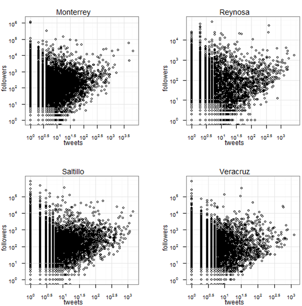
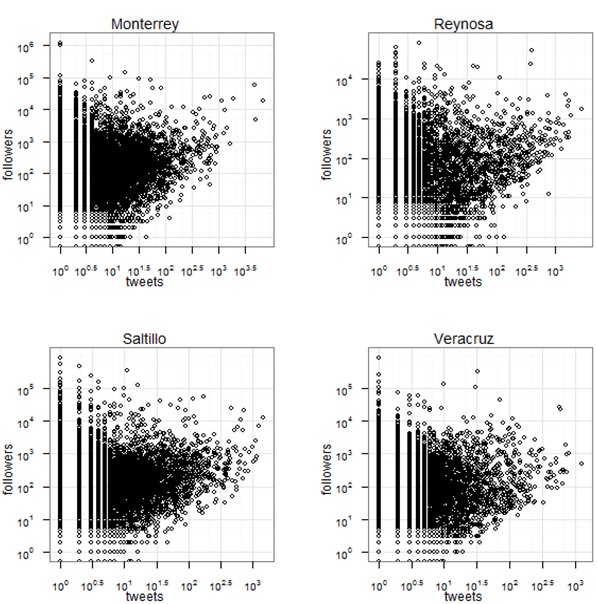
We collected 16 months of Tweets associated with four cities engulfed in the Drug War (Reynosa, Monterrey, Saltillo, and Veracruz) using a combination of local knowledge and keyword-based data collection. The first thing we noticed was how the number of daily tweets went up and down constantly: spiking when violence erupted and decreasing when the city was calm. Also, the level of Twitter activity spread geographically as the violent areas expanded. This suggest that Twitter activity could potentially be used as a probe to assess the level of violence on the streets.

We then examined the people Tweeting. We focused on their level of activity (number of tweets) and notoriety (number of followers). When we did this, we noticed a small number of highly-followed users –media organizations, celebrities, etc.– that had posted a handful of tweets about the violence in those cities. For example, the account for CNN en Español has more than a million followers but had tweeted only once with the hashtag related to the city of Monterrey. Meanwhile, we observed another small group of people also with a lot of followers but who had contributed a lot of tweets (this group is located towards the top right corner of the plots below). We refer to these people as “curators.”

We reached out to several of these curators, and were able to interview some. We learned some of them receive news reports from social media and others from contacts they have across the city. They also mentioned they consider their work to be altruistic in nature, as a form of “community service,” and that they see their work as a response to what they perceive was an abandonment from the media and the government. For example, one curator said:
When I started… the news media, the journalists, and the government were nonexistent, they did not inform on what was happening on the streets…
Another one added:
they forgot they have an obligation with the people… they started hiding information. Then, society started demanding information. This is when social networks took over…
Although traditional journalists regularly serve as curators, both on Twitter and in the mainstream media outlets, the rise of citizen curators suggests that existing outlets are not meeting public need. Both government officials and journalists have idiosyncratically engaged on Twitter, but much of the citizen curators’ success in building an audience stems from their willingness to curate information even when government agencies, journalists, and other media outlets are not, often for fears of reprisals from organized crime.
This practice of civic media curation is not without controversy. First, some of the curators we talked with reported working up to 15 hours a day on Twitter, and being quite upset when others “steal” their tweets. They raised several issues of validation of information. On the other hand, several journalists have raised skepticism about the potential for social media to spread fear and misinformation. Indeed, the fear of inaccurate information spreading has prompted some government agencies to clamp down on citizen curators. What’s more, some citizen curators have been targeted by drug cartels, while others have been accused of collaborating with them, giving further arguments to the problems of shifting from crowdsourcing news reporting to actually crowdsourcing crime reporting.
Social media has become quite visible across the globe for helping people deal with crises like floods, earthquakes, and terrorism. As social medial designers grapple with these challenges, one intervention becomes apparent: there is a significant need for developing technical strategies to assess trust without revealing identity information. Most identity schemes focus on assessing whether or not someone is who they say they are. Indeed, Twitter has implemented “verified” identities. Verification, while valuable for certain types of interaction, is not necessarily what the curators need. While verification may be a decent proxy, all they and their readers really need to know is whether or not the information that is being presented is credible.
For more, see our full paper to be presented at CSCW 2013, The New War Correspondents: The Rise of Civic Media Curation in Urban Warfare, authored by Andrés Monroy-Hernández, danah boyd, Munmun De Choudhury, Scott Counts.
Cross-posted at the Crowd Research Blog
Dear All, I am keen to share my publications with the group, but do not know how to do so by way of getting them posted. The site has no contact details of anyone that could be contact for this or any other query. Could someone kindly let me know who and where to contact in this regard?
Many thanks, Amadu
There’s no one email for everyone who posts on this blog, but you can search for individual people and find their email 😉 That said, people who post on this blog are or have been with the Social Media Collective at MSR.
If present trends continue, I fear that MEXICO will go the way of SOMALIA, and end up being governed by WARLORDS. AFGHANISTAN is close to that now, even after a decade of Western military intervention. Bribery, corruption and intimidation (dishonesty in general) is the enemy of true Democracy. It’s only a question of how widely-spread it becomes. I have traveled by car from Nuevo Loredo to Mexico City, mostly via Pan-American Hwy, and stayed in a small local hotel near the Zocalo for several weeks (before the latest big earthquake). I found the vast % of Mexican people I met to be extremely warm, friendly, helpful, honest and hospitable. Too bad the great majority of these fine people have to suffer for the greed and evil of the minority. – David F. (Canada)
Pingback: Homework 1: Akinkunle Kayode « akayode
Pingback: Mexico Turns to Twitter | Digital Diary